728x90
인프런의 자바(Java) 알고리즘 문제풀이 : 코딩테스트 대비 강의를 수강하며 풀이를 정리하고 있습니다.
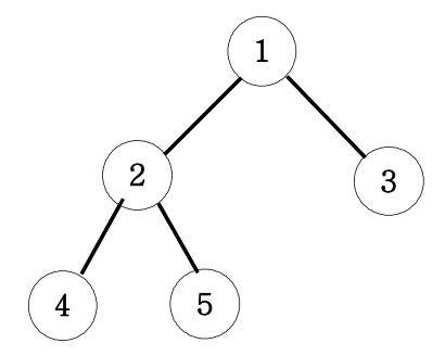
- 문제 설명 : 주어진 이진트리의 루트 노드1에서 말단 노드까지의 길이 중 가장 짧은 길이(간선의 개수가 적은)를 구하는 문제

풀이
- 넓이우선탐색(BFS)을 진행하다가 자식이 없는 말단 노드를 만나면 해당 노드의 레벨을 반환한다.
package inflearn.recursive_tree_graph;
import java.util.LinkedList;
import java.util.Queue;
//Tree 말단 노드까지의 가장 짧은 경로
public class Main7_9 {
public static int bfs(Node root) {
Queue<Node> q = new LinkedList<>();
q.offer(root);
int level = 0; //트리의 현재 레벨 = 간선의 개수
while (!q.isEmpty()) {
int len = q.size();
for (int i = 0; i < len; i++) {
Node node = q.poll();
//자식노드가 없다는건 말단 노드
if (node.left == null && node.right == null)
return level;
if (node.left != null)
q.offer(node.left);
if (node.right != null)
q.offer(node.right);
}
level++;
}
return -1;
}
public static void main(String[] args) {
Node root = new Node(1);
root.left = new Node(2);
root.left.left = new Node(4);
root.left.right = new Node(5);
root.right = new Node(3);
System.out.println(bfs(root));
}
}
댓글